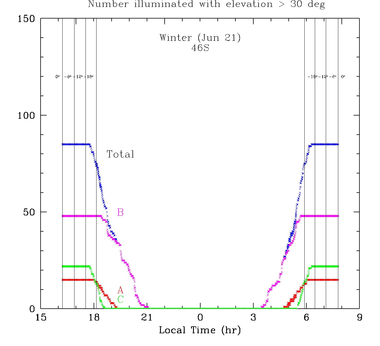
Section 6.2: Visible satellites, 46S (Dunedin)

MODEL Summer (>0 deg) Summer (>30 deg) Winter (>0 deg) Winter (>30 deg)
I (Old)
II (Gen1)
III (Gen2)
IV (OW2)
V (KP1)

Back to Section 6 - Visible Satellites

Back to Starlink Simulations main page